문제 출처 : https://programmers.co.kr/learn/courses/30/lessons/49189
코딩테스트 연습 - 가장 먼 노드
6 [[3, 6], [4, 3], [3, 2], [1, 3], [1, 2], [2, 4], [5, 2]] 3
programmers.co.kr
문제 설명
n개의 노드가 있는 그래프가 있습니다. 각 노드는 1부터 n까지 번호가 적혀있습니다. 1번 노드에서 가장 멀리 떨어진 노드의 갯수를 구하려고 합니다. 가장 멀리 떨어진 노드란 최단경로로 이동했을 때 간선의 개수가 가장 많은 노드들을 의미합니다.
노드의 개수 n, 간선에 대한 정보가 담긴 2차원 배열 vertex가 매개변수로 주어질 때, 1번 노드로부터 가장 멀리 떨어진 노드가 몇 개인지를 return 하도록 solution 함수를 작성해주세요.
제한사항
- 노드의 개수 n은 2 이상 20,000 이하입니다.
- 간선은 양방향이며 총 1개 이상 50,000개 이하의 간선이 있습니다.
- vertex 배열 각 행 [a, b]는 a번 노드와 b번 노드 사이에 간선이 있다는 의미입니다.
입출력 예

입출력 예 설명
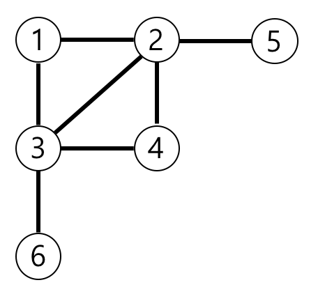
예제의 그래프를 표현하면 아래 그림과 같고, 1번 노드에서 가장 멀리 떨어진 노드는 4,5,6번 노드입니다.

풀이
이 문제는 다익스트라보단 bfs에 가까운 문제이다.
우선 주어진 양방향 간선을 인접 리스트 그래프로 만들어주고, (모든 정보를 저장하는 인접 행렬 그래프보다 갈 수 있는 곳만 저장하는 인접 리스트 그래프가 더 효율적이다)
시작 지점인 정점 1에서부터 아직 방문하지 않은 정점들을 bfs로 탐색한다.
해당 정점에 방문할 때마다의 거리는 이전 정점에 방문했을 때의 거리 +1 이다.
가장 먼 거리를 maxi에 저장해놓고, 거리가 저장되어 있는 dp 배열에 maxi와 같은 거리인 정점의 수를 출력한다.
코드
#include <string>
#include <vector>
#include <queue>
#include <algorithm>
int dp[20001];
using namespace std;
vector<int> v[50001];
int maxi;
void bfs(int start){
queue<int> q;
q.push(start);
while(!q.empty()){
int current = q.front();
q.pop();
for(int i=0; i<v[current].size();i++){
if(dp[v[current][i]]==0 && v[current][i]!=1){
dp[v[current][i]]= dp[current] +1;
q.push(v[current][i]);
maxi = max(maxi,dp[v[current][i]]);
}
}
}
}
int solution(int n, vector<vector<int>> edge) {
int answer = 0;
for(int i=0; i<edge.size();i++){
v[edge[i][0]].push_back(edge[i][1]);
v[edge[i][1]].push_back(edge[i][0]);
}
bfs(1);
for(int i=1; i<=n;i++){
if(maxi==dp[i])
answer++;
}
return answer;
}
'알고리즘 문제 풀이 > 프로그래머스' 카테고리의 다른 글
| 프로그래머스 가장 큰 수 c++ (정렬) (0) | 2021.05.22 |
|---|---|
| 프로그래머스 정수 삼각형 c++ (dp) (0) | 2021.05.21 |
| 프로그래머스 합승 택시 요금 c++, Kotlin (플로이드 와샬) (0) | 2021.05.21 |
| 프로그래머스 배달 c++ (다익스트라) (0) | 2021.05.21 |
| 프로그래머스 월간 코드 챌린지 시즌2 110 옮기기 c++(구현) (0) | 2021.05.20 |
댓글