문제 출처 : https://programmers.co.kr/learn/courses/30/lessons/12978
코딩테스트 연습 - 배달
5 [[1,2,1],[2,3,3],[5,2,2],[1,4,2],[5,3,1],[5,4,2]] 3 4 6 [[1,2,1],[1,3,2],[2,3,2],[3,4,3],[3,5,2],[3,5,3],[5,6,1]] 4 4
programmers.co.kr
문제 설명
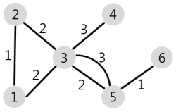
N개의 마을로 이루어진 나라가 있습니다. 이 나라의 각 마을에는 1부터 N까지의 번호가 각각 하나씩 부여되어 있습니다. 각 마을은 양방향으로 통행할 수 있는 도로로 연결되어 있는데, 서로 다른 마을 간에 이동할 때는 이 도로를 지나야 합니다. 도로를 지날 때 걸리는 시간은 도로별로 다릅니다. 현재 1번 마을에 있는 음식점에서 각 마을로 음식 배달을 하려고 합니다. 각 마을로부터 음식 주문을 받으려고 하는데, N개의 마을 중에서 K 시간 이하로 배달이 가능한 마을에서만 주문을 받으려고 합니다. 다음은 N = 5, K = 3인 경우의 예시입니다.

위 그림에서 1번 마을에 있는 음식점은 [1, 2, 4, 5] 번 마을까지는 3 이하의 시간에 배달할 수 있습니다. 그러나 3번 마을까지는 3시간 이내로 배달할 수 있는 경로가 없으므로 3번 마을에서는 주문을 받지 않습니다. 따라서 1번 마을에 있는 음식점이 배달 주문을 받을 수 있는 마을은 4개가 됩니다.
마을의 개수 N, 각 마을을 연결하는 도로의 정보 road, 음식 배달이 가능한 시간 K가 매개변수로 주어질 때, 음식 주문을 받을 수 있는 마을의 개수를 return 하도록 solution 함수를 완성해주세요.
제한사항
- 마을의 개수 N은 1 이상 50 이하의 자연수입니다.
- road의 길이(도로 정보의 개수)는 1 이상 2,000 이하입니다.
- road의 각 원소는 마을을 연결하고 있는 각 도로의 정보를 나타냅니다.
- road는 길이가 3인 배열이며, 순서대로 (a, b, c)를 나타냅니다.
- a, b(1 ≤ a, b ≤ N, a != b)는 도로가 연결하는 두 마을의 번호이며, c(1 ≤ c ≤ 10,000, c는 자연수)는 도로를 지나는데 걸리는 시간입니다.
- 두 마을 a, b를 연결하는 도로는 여러 개가 있을 수 있습니다.
- 한 도로의 정보가 여러 번 중복해서 주어지지 않습니다.
- K는 음식 배달이 가능한 시간을 나타내며, 1 이상 500,000 이하입니다.
- 임의의 두 마을간에 항상 이동 가능한 경로가 존재합니다.
- 1번 마을에 있는 음식점이 K 이하의 시간에 배달이 가능한 마을의 개수를 return 하면 됩니다.
입출력 예

입출력 예 설명
입출력 예 #1
문제의 예시와 같습니다.
입출력 예 #2
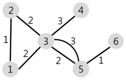
주어진 마을과 도로의 모양은 아래 그림과 같습니다.

1번 마을에서 배달에 4시간 이하가 걸리는 마을은 [1, 2, 3, 5] 4개이므로 4를 return 합니다.
풀이
해당 정점을 bfs로 탐색하면서, 최단 경로를 갱신해가며 dp배열에 저장하는 다익스트라 문제이다.
주어진 road는 양방향 그래프이고, road에서 두 마을 a,b를 연결하는 도로가 여러 개가 있을 수 있다면
이 도로들 중 걸리는 시간이 짧은 도로만 저장하는 그래프를 roads로 따로 만들어 주었다.
dp에 해당 정점에 도착하는 최소 시간을 저장하고 k이하로 걸리는 정점을 출력하면 된다.
코드
#include <vector>
#include <algorithm>
#include <queue>
using namespace std;
int roads[51][51];
int dp[51];
void dijkstra(int start,int N){
dp[1]=0;
priority_queue<pair<int,int>, vector<pair<int,int>>,greater<pair<int,int>>> pq;
pq.push({0,1});
while(!pq.empty()){
int current= pq.top().second;
int time = pq.top().first;
pq.pop();
if(dp[current]<time)
continue;
for(int i=0; i<=N;i++){
if(roads[current][i]!=0){
int next = i;
int nextTime = time+ roads[current][i];
if(dp[next]>nextTime){
dp[next] = nextTime;
pq.push({nextTime,next});
}
}
}
}
}
int solution(int N, vector<vector<int> > road, int K) {
int answer = 0;
for(int i=0; i<road.size();i++){
int r =road[i][0], c =road[i][1], cost = road[i][2];
if(roads[r][c]==0){
roads[r][c] =cost;
roads[c][r] =cost;
}
else{
roads[r][c] = min(roads[r][c],cost);
roads[c][r] = min(roads[c][r],cost);
}
}
for(int i=0; i<51;i++){
dp[i]= 987654321;
}
dijkstra(1,N);
for(int i=1; i<=N;i++){
if(dp[i]<=K){
answer++;
}
}
return answer;
}'알고리즘 문제 풀이 > 프로그래머스' 카테고리의 다른 글
| 프로그래머스 가장 먼 노드 c++ (bfs) (0) | 2021.05.21 |
|---|---|
| 프로그래머스 합승 택시 요금 c++, Kotlin (플로이드 와샬) (0) | 2021.05.21 |
| 프로그래머스 월간 코드 챌린지 시즌2 110 옮기기 c++(구현) (0) | 2021.05.20 |
| 프로그래머스 월간 코드 챌린지 시즌2 2개 이하로 다른 비트 c++(구현) (0) | 2021.05.19 |
| 프로그래머스 H-Index c++ (정렬) (0) | 2021.05.13 |
댓글