문제 출처 : https://www.acmicpc.net/problem/18352
18352번: 특정 거리의 도시 찾기
첫째 줄에 도시의 개수 N, 도로의 개수 M, 거리 정보 K, 출발 도시의 번호 X가 주어진다. (2 ≤ N ≤ 300,000, 1 ≤ M ≤ 1,000,000, 1 ≤ K ≤ 300,000, 1 ≤ X ≤ N) 둘째 줄부터 M개의 줄에 걸쳐서 두 개
www.acmicpc.net

문제
어떤 나라에는 1번부터 N번까지의 도시와 M개의 단방향 도로가 존재한다. 모든 도로의 거리는 1이다.
이 때 특정한 도시 X로부터 출발하여 도달할 수 있는 모든 도시 중에서, 최단 거리가 정확히 K인 모든 도시들의 번호를 출력하는 프로그램을 작성하시오. 또한 출발 도시 X에서 출발 도시 X로 가는 최단 거리는 항상 0이라고 가정한다.
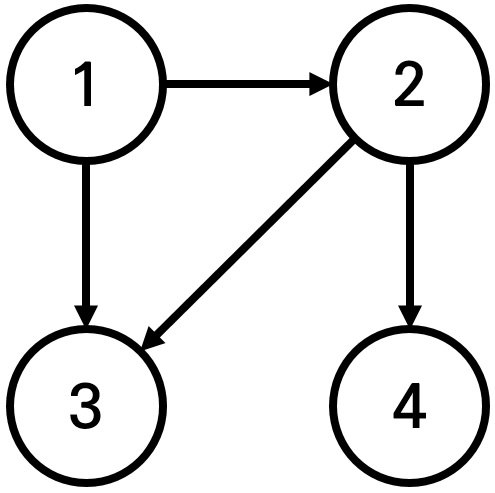
예를 들어 N=4, K=2, X=1일 때 다음과 같이 그래프가 구성되어 있다고 가정하자.

이 때 1번 도시에서 출발하여 도달할 수 있는 도시 중에서, 최단 거리가 2인 도시는 4번 도시 뿐이다. 2번과 3번 도시의 경우, 최단 거리가 1이기 때문에 출력하지 않는다.
입력
첫째 줄에 도시의 개수 N, 도로의 개수 M, 거리 정보 K, 출발 도시의 번호 X가 주어진다. (2 ≤ N ≤ 300,000, 1 ≤ M ≤ 1,000,000, 1 ≤ K ≤ 300,000, 1 ≤ X ≤ N) 둘째 줄부터 M개의 줄에 걸쳐서 두 개의 자연수 A, B가 공백을 기준으로 구분되어 주어진다. 이는 A번 도시에서 B번 도시로 이동하는 단방향 도로가 존재한다는 의미다. (1 ≤ A, B ≤ N) 단, A와 B는 서로 다른 자연수이다.
출력
X로부터 출발하여 도달할 수 있는 도시 중에서, 최단 거리가 K인 모든 도시의 번호를 한 줄에 하나씩 오름차순으로 출력한다.
이 때 도달할 수 있는 도시 중에서, 최단 거리가 K인 도시가 하나도 존재하지 않으면 -1을 출력한다.

알고리즘 분류
풀이
해당 그래프의 가중치(거리)가 다르지 않기 때문에 bfs로 간단히 풀 수 있다.
출발 지점인 x에서 bfs(너비 우선 탐색)을 하게 되면, 위의 그래프에서 한 턴의 움직임을 살펴보자.
1턴
1->2
1->3
2턴
2->3(3은 이미 방문했기 때문에 2턴에서 방문한 것은 최단 거리가 아니다. 고로 스킵)
2->4
해서, 매 턴마다 거리 1만큼(한 간선) 이동한다고 할 때, 답은 4가 된다.
즉, bfs에서 q의 크기를 매 턴(한 간선을 이동할 때)마다 지정하고, 탐색한다.
만약 현재 턴(거리)가 k와 같다면 해당 턴의 q 사이즈만큼의 답이 생길 것이고,
이는 resultQ라는 우선순위 큐에 오름차순 정렬시켜 답을 출력한다.
코드
#include <iostream>
#include <vector>
#include <queue>
using namespace std;
//2<=n<=300000 노드 개수
//1<=m<=1000000 단방향 간선 개수
//1<=k<=300000 거리
//1<=x<=n 시작점
int n, m, k, x;
vector<int> edge[300001];
bool visited[300001];
void bfs() {
priority_queue<int, vector<int>, greater<int>> resultQ;
queue<int> q;
q.push(x);
visited[x] = true;
int dis = 0;
while (!q.empty()) {
int size = q.size();
for (int i = 0; i < size; i++){
int cur = q.front();
q.pop();
if (dis == k) {
resultQ.push(cur);
continue;
}
for (auto next : edge[cur]) {
if (visited[next]) continue;
visited[next] = true;
q.push(next);
}
}
dis++;
}
if (resultQ.empty()) {
cout << -1;
}
else {
while (!resultQ.empty()) {
cout << resultQ.top()<<'\n';
resultQ.pop();
}
}
}
int main() {
ios::sync_with_stdio(false);
cin.tie(0);
cout.tie(0);
cin >> n >> m >> k >> x;
for (int i = 0; i < m; i++) {
int from, to;
cin >> from >> to;
edge[from].push_back(to);
}
bfs();
return 0;
}
'알고리즘 문제 풀이 > 백준' 카테고리의 다른 글
| 백준 20922 겹치는 건 싫어 c++, Kotlin (투 포인터) (0) | 2021.10.16 |
|---|---|
| 백준 1654 랜선 자르기 c++, Kotlin (이분 탐색) 2022-06-26 코틀린 추가 (0) | 2021.10.14 |
| 백준 5639 이진 검색 트리 c++ (트리) (2) | 2021.10.12 |
| 백준 12919 A와 B 2 c++ (투 포인터) 2022-06-20 코틀린 추가 (0) | 2021.10.11 |
| 백준 1991 트리 순회 c++ (트리) (0) | 2021.10.10 |
댓글