문제 출처 : https://www.acmicpc.net/problem/1991
1991번: 트리 순회
첫째 줄에는 이진 트리의 노드의 개수 N(1 ≤ N ≤ 26)이 주어진다. 둘째 줄부터 N개의 줄에 걸쳐 각 노드와 그의 왼쪽 자식 노드, 오른쪽 자식 노드가 주어진다. 노드의 이름은 A부터 차례대로 알파
www.acmicpc.net

문제
이진 트리를 입력받아 전위 순회(preorder traversal), 중위 순회(inorder traversal), 후위 순회(postorder traversal)한 결과를 출력하는 프로그램을 작성하시오.

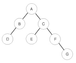
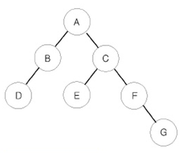
예를 들어 위와 같은 이진 트리가 입력되면,
- 전위 순회한 결과 : ABDCEFG // (루트) (왼쪽 자식) (오른쪽 자식)
- 중위 순회한 결과 : DBAECFG // (왼쪽 자식) (루트) (오른쪽 자식)
- 후위 순회한 결과 : DBEGFCA // (왼쪽 자식) (오른쪽 자식) (루트)
가 된다.
입력
첫째 줄에는 이진 트리의 노드의 개수 N(1 ≤ N ≤ 26)이 주어진다. 둘째 줄부터 N개의 줄에 걸쳐 각 노드와 그의 왼쪽 자식 노드, 오른쪽 자식 노드가 주어진다. 노드의 이름은 A부터 차례대로 알파벳 대문자로 매겨지며, 항상 A가 루트 노드가 된다. 자식 노드가 없는 경우에는 .으로 표현한다.
출력
첫째 줄에 전위 순회, 둘째 줄에 중위 순회, 셋째 줄에 후위 순회한 결과를 출력한다. 각 줄에 N개의 알파벳을 공백 없이 출력하면 된다.

알고리즘 분류
풀이
트리의 전위 순회(preorder), 중위 순회(inorder), 후위 순회(postorder) 세 가지에 탐색 방식을 구현하는 문제이다.
각 노드 별로, 왼쪽 자식 노드, 오른쪽 자식 노드를 저장한 후, 재귀를 통해 왼쪽 자식 노드, 오른쪽 자식 노드를 순서대로 호출하여 구현하는데, 각각의 순회 방식마다 출력하는 위치에 따라서 달라진다.
직접 출력의 위치를 바꿔가며 구현해 보자.
코드
#include <iostream>
#include <vector>
using namespace std;
int n;
pair<int,int> edge[26];
void pre(char cur) {
//root left right
if (cur == '.')return;
cout << cur;
pre(edge[cur - 'A'].first);
pre(edge[cur - 'A'].second);
}
void in(char cur) {
//left root right
if (cur == '.')return;
in(edge[cur - 'A'].first);
cout << cur;
in(edge[cur - 'A'].second);
}
void post(char cur) {
//left right root
if (cur == '.') return;
post(edge[cur - 'A'].first);
post(edge[cur - 'A'].second);
cout << cur;
}
int main() {
ios::sync_with_stdio(false);
cin.tie(0);
cout.tie(0);
cin >> n;
for (int i = 0; i < n; i++) {
char ch,left,right;
cin >> ch >> left >> right;
edge[ch - 'A'] = { left,right };
}
pre('A');
cout << '\n';
in('A');
cout << '\n';
post('A');
return 0;
}'알고리즘 문제 풀이 > 백준' 카테고리의 다른 글
| 백준 5639 이진 검색 트리 c++ (트리) (2) | 2021.10.12 |
|---|---|
| 백준 12919 A와 B 2 c++ (투 포인터) 2022-06-20 코틀린 추가 (0) | 2021.10.11 |
| 백준 1789 수들의 합 c++ (이분 탐색) (0) | 2021.10.10 |
| 백준 17144 미세먼지 안녕! c++ (시뮬레이션) (0) | 2021.10.09 |
| 백준 9934 완전 이진 트리 c++ (트리) (0) | 2021.10.09 |
댓글